¿Cómo podría realizar este despeje?
Podrías ayudarme a despejar c de lo siguiente. Llevo horas intentándolo y no me sale.
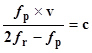
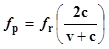
$$\begin{align}&f_p = f_r (1- \frac{v - c}{v+c})\end{align}$$
2 respuestas
Respuesta de Lucas m
1
Respuesta de Luis Alberto Candio Salcedo
1

