·
·
¡Hola Anónimo!
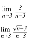
$$\begin{align}&\lim_{n\to 3} \frac 3{n-3}= \frac{3}{0}=\infty\\&\\&\text{Esto quiere decir que cuando se acerca a 3 la función toma}\\&\text{valores mayores que cualquiera que podamos dar}\\&\\&\text{En concreto por la izquierda tiende a }-\infty\\&\text{y por la dereha a }+\infty\\&\\&-----\\&\\&\lim_{n\to 3} \frac{\sqrt n-3}{n-3}= \frac {\sqrt{3}-3}{3-3}= \frac{\sqrt 3 - 3}{0}= \infty\\&\\&\text{igual que antes, pero ahora por la izquierda tiende a }+\infty\\&\text{y por la derecha a }-\infty\\&\text{ya que el numerador es negativo}\\&\\&-----------------\\&\\&\text{De todas formas te voy a resolver también este por si acaso}\\&\text{el dibujo está mal el palito de la raíz salía cortado}\\&\lim_{n\to 3} \frac{\sqrt {n-3}}{n-3}=\frac 00=\lim_{n\to 3} signo(n-3)·\frac 1{\sqrt {n-3}}= \\&\\&\lim_{n\to 3} signo(n-3)· \frac 10=\infty\\&\\&\text{Esta vez es }-\infty \text{ por la izquierda y }+\infty \text{ por la derecha}\\&\end{align}$$Y eso es todo, saludos.
:
:
En el mismo archivo que elaboraste el procedimiento anterior, tabula y grafica con un rango para el eje x de -8 a 9, cada una de las siguientes funciones: Lim X2 + 4X-21 =-2 X 3 X3 -5X2 - 2X + 24 Lim log X2 = 0 X 1 - Claudinha Clauu
Comentario borrado por el autor - Marian LN
Claudinha. Los comentarios son para dudas sobre la pregunta que se ha contestado, no para hacer nuevas preguntas. - Valero Angel Serrano Mercadal
Señor Valero es pregunta fue hecha hace días y aún no tiene respuesta.... - Marian LN