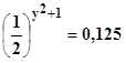
No entiendo como resolver estos dos problemas de Logaritmos

Se me hace dificl cuando hay fraciones o exponentes así, y necesito tu ayuda para comprender.
2 respuestas
Respuesta de Luis Alberto Candio Salcedo
1
Respuesta de Valero Angel Serrano Mercadal
1





