Apoyo con Cálculos relacionados con el movimiento circular
¿Qué hacer?
1. Extrae los datos del siguiente enunciado para resolver los cálculos solicitados.
Una rueda de bicicleta tiene un radio de 50 cm y gira a razón de 120 vueltas por minuto.
2. Soluciona lo que se te pide:
a) Primero, calcula la frecuencia. Recuerda que la frecuencia es el número de vueltas por segundo, entonces hay que pasar de minutos a segundos (1min = 60 segundos). Su fórmula es:

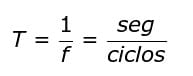
b) Posteriormente, obtén el periodo, que es el tiempo que tarda una vuelta y es inverso a la frecuencia. Su fórmula es:

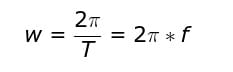
c) Ahora, calcula la velocidad angular (w) con la fórmula donde incluyas los valores anteriores:

Nota: Recuerda que deberás convertir los rev/min a rad/seg donde 1 rev = 2π rad y 1 min = 60 seg.
d) Por último y a partir del resultado obtenido en el punto 3, encuentra la velocidad tangencial, cuya fórmula es:
![]()