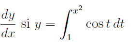
Tengo este problema de calculo, como lo puedo resolver encuentre dy/dx si:

¿Se integra la función y después se deriva?
Como puedo resolverlo, así me doy una idea para resolver otros más que tengo similares
2 Respuestas
Respuesta de Panké Pünke Leal
1
Respuesta de Valero Angel Serrano Mercadal
1