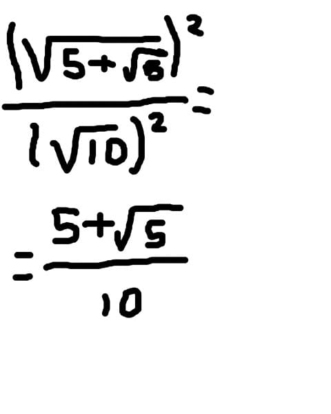
No entiendo el resultado al racionalizar y simplificar

Al hacer este ejercicio no me da el mismo resultado que en el ejemplo. ¿Me podéis decir donde cometo el erro?
Gracias
P.D. Perdón por la mala calidad de la imagen. La hice en photoshop :(
2 Respuestas
Respuesta de Lucas m
1
Respuesta
1