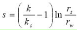
¿Cómo puedo despejar rs de la siguiente ecuación?
Necesito despejar rs de la siguiente ecuación, espero me puedan ayudar.

Respuesta de Valero Angel Serrano Mercadal
1
1 respuesta más de otro experto
Respuesta de Mario Rodríguez
1
