Tengo una duda en matemáticas problema numero 1
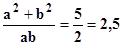
si jaime tiene dos numeros enteros positivos tales como que a+b=36 y ab= 288
Ayudale a jaime a encontrar el valor de a/b +b/a.
2 respuestas
Respuesta de Luis Alberto Candio Salcedo
2
Respuesta de Mario Rodríguez
1

