Macro para determinar valores extremos
Necesito una macro que me indique los valores extremos de una variable (outliers). Para poder detectarlos se establecen dos límites:
Límite inferior = Cuartil 1 - 1,5 * (Cuartil 3 - Cuartil 1)
Límite superior = Cuartil 3 + 1,5 * (Cuartil 3 - Cuartil 1)
Los datos por debajo del límite inferior y por encima del límite superior serían outliers.
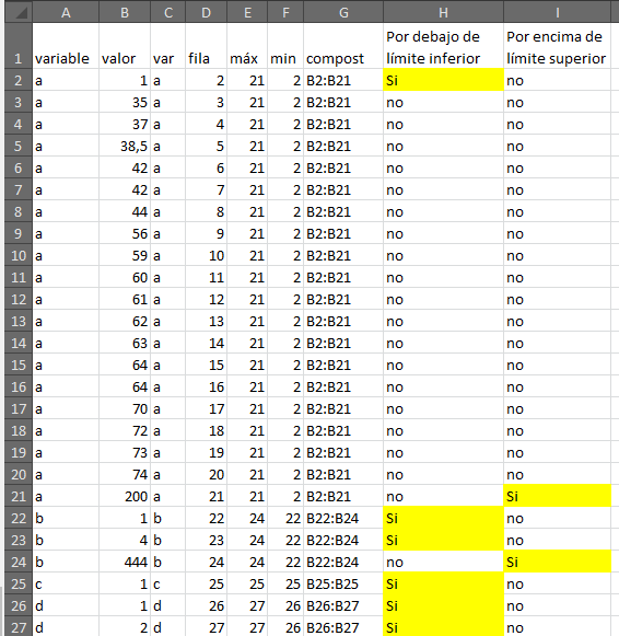
Por ejemplo, para la variable "a"

El límite inferior es 6,75 y el límite superior es 100,75 (los cuartiles 1 y 3 son 42 y 65,5 respectivamente).
El resultado que estoy buscando es algo así:

En este caso he aplicado la función "si":
Columna C: SI(B2<CUARTIL($B$2:$B$21;1)-1,5*(CUARTIL($B$2:$B$21;3)-CUARTIL($B$2:$B$21;1));"Si";"no")
Columna D: SI(B2>CUARTIL($B$2:$B$21;3)+1,5*(CUARTIL($B$2:$B$21;3)-CUARTIL($B$2:$B$21;1));"Si";"no")
El problema es que no tengo una sola variable (en el ejemplo la "a"), sino cientos de ellas ("b", "c", "d"..) y de cada variable tengo un número distinto de observaciones (en el caso de la "a" han sido 20, en el de la "b" 24 y así), por lo que creo que una macro podría ayudarme en esta tarea.

