Tengo una duda de como despegar "y" ¿Y cómo resolverlo después gráficamente?
Necesito saber como despejar "y" en estos ejercicios y después como resolverlos gráficamente
a) x^2 - 4x = y - 4
4 = 2x - y
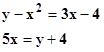
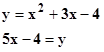
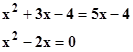
b) y - x^2 = 3x - 4
5x = y + 4
2 Respuestas
Respuesta de Luis Alberto Candio Salcedo
1
Respuesta de Valero Angel Serrano Mercadal
1




