¿Como calcular el volumen de este solido?

Nuevamente es resolver el siguiente solido de revolución, yo lo desarrollo de la siguiente manera, ¿no se si estoy en lo correcto?

1 respuesta

Respuesta
1

·

·

¡Hola Jaime!

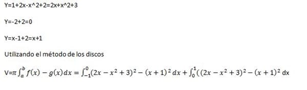
No sé si el dibujo lo has hecho tú o te lo dan. De todas formas, aunque en la gráfica te salgan los puntos de intersección, es necesario calcularlos analíticamente o cuanto menos verificarlos.

Yo ya los he verificado mentalmente y están bien.

Debemos referir las funciones a un sistema donde el eje Y fuera la recta y=-2, y eso se obtiene sumando 2 a las funciones. Y en la primera función has dejado mal el signo de x^2, es:

y = 3+2x-x^2

Luego, en la fórmula de volumen veo que no has puesto los cuadrados, además los límites tampoco los pusiste bien.

$$\begin{align}&V=\pi\int_a^b\left([f(x)]^2-[g(x)]^2  \right)dx=\\&\\&\pi\int_{-1}^2\left[(3+2x-x^2)^2-(x+1)^2\right]dx=...\\&\\&\text{Supongo que esto lo querrás hacer tú.}\\&\\&\text{La respuesta es } \frac{108\pi}{5}\end{align}$$

Y eso es todo, saludos.

:

:

Hola Profesor, me equivoque en los puntos de evaluación, yo pensaba que se tenían que sumar la parte del solido que va de -1 a 0 y de 0 a 2?

Muchas gracias

Hubiera habido que hacer dos integrales si se hubieran cortado las dos funciones en un punto intermedio. Y en cada intervalo se habría puesto la integral del cuadrado de la superior menos el de la inferior en ese intervalo.

Añade tu respuesta

Haz clic para o

Más respuestas relacionadas