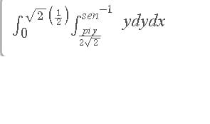
Para la integral , escriba una integral equivalente pero en el orden y dxdy, dibuje también la región de integración.
Alguien quien me pueda colaborar con este ejercicio mucha gracias para la integral

, escriba una integral equivalente pero en el orden dxdy dibuje también la región de integración
                    Respuesta de Valero Angel Serrano Mercadal                
                
        
        
            
                1
              
        
        
        
            
            
        
    
                

