El excedente del consumidor de un producto para un nivel de venta a un precio

Ayudeme a darle solución. Le agradezco de antemano.

El excedente del consumidor de un producto para un nivel de venta a un precio P de QUE artículos, está dado por la expresión:

El excedente del consumidor de un producto a un precio de $ 10000 cuya ecuación de la demanda está dada por:

es:

1 respuesta

Respuesta
1

·

·

¡H o l a  Laura!

Para poder calcular el excedente del consumidor se necesita saber el punto de equilibrio y aquí no nos lo dan. En estos ejecicios lo normal es que te den la ecuación de la demanda y de la oferta y te pregunten el excedente del consumidor y el del productor. Pero si solo dan la ecuación de la demanda tienen que dar el punto de equilibrio.

Revisa el enunciado para ver si falta algo.

S a l u d o s.

:

:

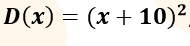
Espera un poco que a lo mejor no lo entendí bien, es que me habían mandado ejercicios de estos de otra forma. A lo mejor con ese 10000 se refieren al punto de equilibrio. Siendo x el precio y D(x) la demanda.

Vale, me hacen un lío cuando usan x en lugar de q para las unidades producidas.

Como ya pones la fórmula usaré esa. Las variables son

x = unidades producidas y vendidas

D(x) = precio de de cada unidad en función de las unidades producidas y vendidas

(Q, P) el precio de equilibrio

Nos dan

P=10000

10000 = (Q+10)^2

Q+10 = 100

Q = 90

Y con esto ya podemos hacer la integral

$$\begin{align}&EC=\int_0^{90}(x+10)^2dx-90·10000=\\&\\&\frac{(x+10)^3}3\bigg|_0^{90}-900\,000=\\&\\&\frac{1\,000\,000}3-900\,000 = -566\,666.66\end{align}$$

Bueno, como puedes ver eso no puede ser.  Y la culpa es de los que dieñan los ejercicios sin pensar.

Esa función D(x) nunca puede ser una función de demanda porque es creciente y mucho, y las funciones de demanda tienen que ser decrecientes. Así lo que pasa es que la función de la demanda está por debajo del punto de equilibrio desde 0 hasta él y la integral es negativa.

Revisa bien el enunciado, y si es así coméntale al profesor lo que te he dicho.

Sa lu dos.

:

:

Añade tu respuesta

Haz clic para o

Más respuestas relacionadas