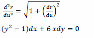
Introducción a las ecuaciones diferencialesIndique el orden de la ecuación diferencial y establezca si la ecuación es lineal
O no lineal, justifique su respuesta.__________________________________________________________________________________________________

2 Respuestas
Respuesta de Valero Angel Serrano Mercadal
1
Respuesta de Jorge Herrera
-1