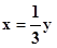
Si la edad de Ramon en igual a un tercio que la de Sofia ,como se puede representar algebraicamente
Necesito una respuesta para yaaaaaaaaaaaaaaaaaaaaaa
Respuesta de Luis Alberto Candio Salcedo
1
1 respuesta más de otro experto
Respuesta de Valero Angel Serrano Mercadal
