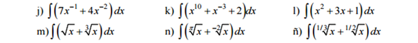
Como poder resolver estas integrales?
Necesito desarrollar estas integrales así como su resultado

Respuesta de Lucas m
1
1 respuesta más de otro experto
Respuesta de Valero Angel Serrano Mercadal
1