¿Cómo hacer la demostración del siguiente enunciado?
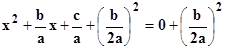
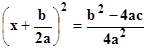
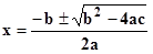
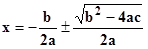
1) Demuestra que la solucion general de la ecuacion ax^2+bx+c esta dada por x=-b+-(raiz cuadrada de b^2-4ac)/2 no realizar comprobacion hacer la demostracion (sugerencia: apicar el metodo de completando el cuadrado)
2)Demostrar el teorema de pitagoras de acuerdo a lo siguiente

En el lado del cuadrado mayor es c+b, mientras que el lado del cuadrado menor tiene como longitud a, el área del cuadrado mayor puede obtenerse de dos maneras, aplicando la fórmula del área de un cuadrado de lado por lado, la otra manera suma el área de los cuatro triángulos rectángulos más el área del cuadrado menor. Iguala estas dos expresiones y realiza el álgebra necesaria para obtener el Teorema de Pitágoras.
2 respuestas
Respuesta de Luis Alberto Candio Salcedo
2
Respuesta de Valero Angel Serrano Mercadal
2





