Matrices: usar la informaciòn dada y las propiedades para encontar x :
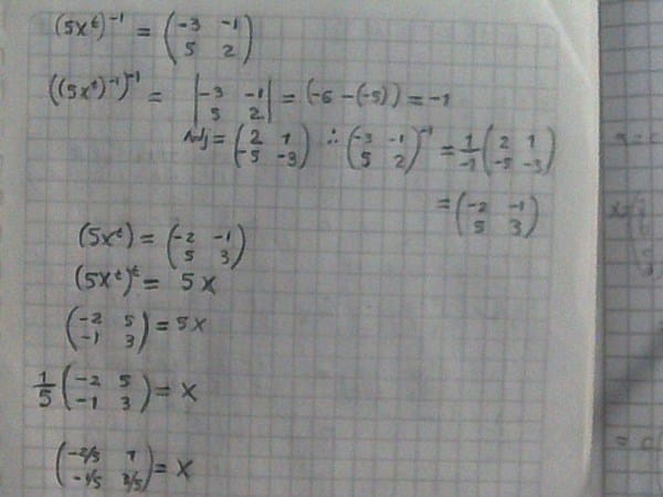
1) (5x^t)^-1 = -3 -1
5 2
2) ( I + 2x )^-1 = -1 2
4 5
Hice los ejercicios, pero no se si estan bien o mal, muchas gracias.


1 respuesta
Respuesta de Valero Angel Serrano Mercadal
1