Como se realiza el siguiente ejercicio de estadística descriptiva

- Basándote en la tabla realiza lo que se te solicita.
- Calcula la media de la edad en la que adquieren esta enfermedad.
- Calcula la varianza para la edad en la que adquieren esta enfermedad.
- Calcula la desviación estándar para la edad en la que adquieren esta enfermedad.
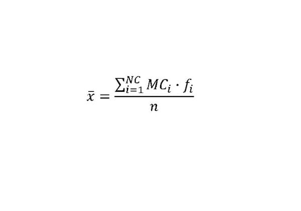
- La fórmula para determinar la media es:

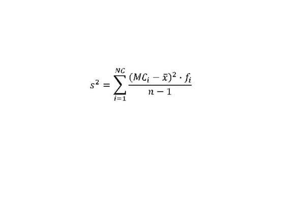
- La fórmula para determinar la varianza es:

La fórmula para determinar la desviación estándar es:
$$\begin{align}&s=√(s^2 )\\&\end{align}$$Donde:
$$\begin{align}&NC=Númerodeclases\\&MC_i=Marcadeclasedelaclasei\\&f_i=Frecuenciaabsolutadelaclasei\\&n=Númerodedatos\\&x ̅=Mediadelosdatos\\&\end{align}$$- Para verificar los resultados de los incisos 1, 2 y 3 escribe los valores solicitados en la siguiente tabla.
- Límite Inferior del Intervalo: Escribe los límites inferiores de cada intervalo.
- Límite Superior del Intervalo: Escribe los límites superiores de cada intervalo.
- Frecuencia Absoluta: Escribe la frecuencia absoluta de cada intervalo
- Marca de Clase del Intervalo: Escribe la Marca de Clase de cada intervalo.
MC*Fcia.Abs.: Escribe el resultado de multiplicar la Marca de Clase por la Frecuencia Absoluta.
$$\begin{align}&x ̅: Escribe el valor que obtuviste para la media de los datos.\\&MC-x ̅: Escribe el valor que obtuviste de restar la marca de clase menos la media de los datos.\\&(MC-x ̅ )^2:Escribe el valor que obtuviste de elevar al cuadrado el resultado de la columna anterior.\\&(〖MC〗_i-x ̅ )^2∙f_i : Escribe el valor que obtuviste de multiplicar por la frecuencia el resultado de la columna anterior.\\&\end{align}$$
Utiliza la siguiente fórmula para determinar el intervalo que contiene al 75% de los datos.
$$\begin{align}&(x ̅-2s ; x ̅+2s)\\&\end{align}$$Donde:
$$\begin{align}&x ̅=Mediadelosdatos\\&s=DesviaciónEstándar\\&\end{align}$$
1 respuesta
Respuesta de Valero Angel Serrano Mercadal
1
