¿Como resolver la siguiente ecuación?
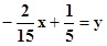
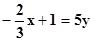
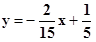
¿ Cuál es la pendiente de la recta cuya ecuación es -2/3x-5y+1=0?
2 respuestas
Respuesta de Luis Alberto Candio Salcedo
1
Respuesta de Valero Angel Serrano Mercadal
1
