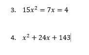
Resolver utilizando la fórmula general estas ecuacines cuadráticas

Buen día continuo con mi taller de ecuaciones cuadráticas gracias por su ayuda
2 respuestas
Respuesta de Valero Angel Serrano Mercadal
2
Respuesta de Lucas m
2