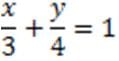
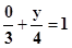
Cuales son las intersecciones de los ejes de la siguiente ecuacion
Son las intersecciones con los ejes de la recta representada por la ecuación 
2 respuestas
Respuesta de Valero Angel Serrano Mercadal
1
Respuesta de Luis Alberto Candio Salcedo
1

No es justo que a mi me califiquen como buena valoración y al MAESTRO VALERO lo califican como excelente valoración si los dos hemos resuelto bien el ejercicio, además yo lo resolví primero - Luis Alberto Candio Salcedo
Tienes razón. A mí también me saben muy mal esas discriminaciones. Vamos, soy partidario de salvo hacer algo rematadamente mal votar Excelente. - Valero Angel Serrano Mercadal