Necesito me orienten a solucionar este ejercicio de encontrar un valor de un triángulo.
El ejercicio dice lo siguiente : ¿Encontrar el valor de "x" que permite construir el siguiente triángulo?.
Acompaño la imagen con lo que yo hice para tratar de encontrar el valor de "x" . mientra voy a seguir tratando de encontrar el mismo.
Gracias.

1 Respuesta
·
·
¡Hola Hfarias!
Es el ejemplo más claro que he visto en mi vida para aplicar el teorema del coseno. ¿Lo conoces?
b^2 = a^2 + c^2 - 2ac·cosB
Te dejo que lo pruebes.
Saludos.
:
:
¡Gracias! Estimado Valero si se como se todo lo del teorema del Coseno y del Seno,lo estaba por aplicar,pero me confunde que los lados,por ejemplo el "b" es = x + 3/2.
He resuelto otros parecidos pero este no se que me pasa.
En este caso creo que me quedaria un binomio,puede ser.
Gracias y espero respuesta.
·
·
¡Hola Hfarias!
A estas horas todavía no funciona el editor de ecuaciones. Yo no sé que ha pasado que todos los bloques de fórmulas hechas con latex en 5 años de mi vida han desaparecido de la página. Ya avisé a los responsables de la página pero no está solucionado, tal vez deberíais protestar más personas para ver si hacen algo.
Mientras no solucionen ese problema la verdad es que estoy sin ganas de hacer nada, aparte que no se puede.
Saludos.
:
:
¡Gracias! Estimado Valero me parecía que tu lo hacías con Látex, a mi también me sucedió lo mismo hace unos dos meses atrás y ahora también.
Espero, tu respuesta no tengo apuro, pero me podrías decir como haces para escribirlo en Látex en este foro, porque a mi no me deja insertar imágenes con formato . ggb.
Por ejemplo.
Gracias
Aquí en latex se escribe pinchando en el icono x^2 que pone "Insertar fórmula matemática" y cuando funciona, no como ahora, escribes las instrucciones en latex. ¿Los ficheros ggb son los de geogebra, no? No se pueden insertar directamente creo, yo tomo imágenes de la pantalla con el programa "recortes" de Windows y luego subo esa imagen con el icono de la izquierda, el que pone "Añadir imagen".
Podrías mandar la protesta por la desaparición de los textos en latex, abajo del todo tienes un enlace que pone "contacto" y expones lo que pasa, puedes por ejemplo adjuntar una dirección de una pregunta tuya que ahora no se vea.
Saludos.
:
:
Veamos si está bien:
$$\begin{align}&\text{Hay que usar las expresiones exactas de los cosenos}\\&\\&\left(x+\frac 32\right)^2=\left(x+\frac 72\right)^2+(x+3)^2-2\left(x+\frac 72\right)(x+3)\frac {\sqrt 2}{2}\\&\\&x^2+3x+\frac 94=x^2+7x+\frac {49}4+x^2+6x+9-x^2 \sqrt 2-3 \sqrt 2 x -\frac{7 \sqrt 2}{2}x-\frac {21 \sqrt 2}{2}\\&\\&(\sqrt 2-1)x^2+\left(-10+\frac{13 \sqrt 2}{2}\right)x-19+\frac {21 \sqrt 2}{2}=0\\&\\&(2 \sqrt 2-2)x^2+(13 \sqrt 2-20)x+21 \sqrt 2-38 = 0\\&\\&x=\frac{20-13 \sqrt 2\pm \sqrt{(13 \sqrt 2 - 20)^2-4(2 \sqrt 2 -2)(21 \sqrt 2-38)}}{4 \sqrt 2-4}=\\&\\&\frac{20-13 \sqrt 2\pm \sqrt{338-520 \sqrt 2+400-336+304 \sqrt 2+168 \sqrt 2-304}}{4 \sqrt 2-4}=\\&\\&\frac{20-13 \sqrt 2\pm \sqrt{98-48 \sqrt 2}}{4 \sqrt 2-4}\\&\\&\text{Por supuesto que ahora hay que calcular el valor aproximado:}\\&\\&x_1=-2.33740555324308\\&x_2=4.287153021548908\\&\\&\text{La primera no vale por ser negativa, luego es}\\&\\&x=4.287153021548908\\&\end{align}$$Y eso es todo, saludos.
:
:
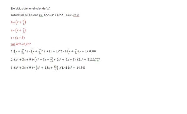
Estimado Valero te agradezco tu respuesta, pero cómo quedaría si en vez de usar ( Raíz Cdrada / 2 ) = Cos 45º, se utiliza el valor ( 0,707 ) que es igual a Cos 45º.
Podrías realizarla, es para despejar algunas dudas que tengo en el producto de la tercera parte de la fórmula [ -2 (x+7/2)(x+3) Cos45º ], porque yo haciendo con este valor del Coseno, me queda = 4,55.
Podrías realizar la multiplicación Paso a Paso.
Gracias y disculpa si soy molesto.
´
´
Hola. Ahora no tengo tiempo para hacer esas cuentas. Pero lo que me pides no debería hacerlo. Hay que hacerlo tal como lo he hecho yo, no llegarás a ser nunca un buen matemática si pones 0,707 en lugar del coseno de 45º. Y la demostración la tienes en que si el resultado te ha dado 4.55 estás cometiendo un error muy grande. Si no quieres usar el raiz(2)/2 llama c al coseno de 45º haz las cuentas con esa c y al final del todo sustituyes por el coseno de 45 pero con más cifras decimales.
Saludos.
:
:
Es que deberías mandarme tus cunetas para ver si las has hecho bien. En el coseno ya veo que tomas una aproximació pobre con solo tres decimales, pero en lo otro no sé que aproximaciones tomas. Si eres tacaño con los decimales es normal que el resultado no salga muy bueno, ahora bien, me parece que esta vez ha sido demasiado malo. Manda tus cuentas completas para verificarlas.
Saludos.
:
:
¡Gracias! Valero Mercadel,te envio una imagen de como estaba haciendo yo la parte del [ -2 (x + 7/2 )(x+3).sqrt 2/2 )].
Ahí estaba el error cuando hacia el producto y por eso no me daba el resultado.
Gracias y espero respuesta.

No lo eleminé, lo simplifique con el 2 que en el denominador en
raíz(2) / 2
Y luego hice las multiplicaciones.
Es imposible poner todos los pasos. Tengo un ordenador bastante potente pero aun así cuando en un cuadro de fórmulas escribes demasiadas cosas el ordenador se atasca y se medio imposible continuar escribiendo, por eso no se pueden escribir todos los pasos cuando el problema es largo.
Saludos.
:
:
- Compartir respuesta
