¿Me podrían resolver este ejercicio?

1 respuesta

Respuesta
1

;)

;)

Hola jesusgpe)

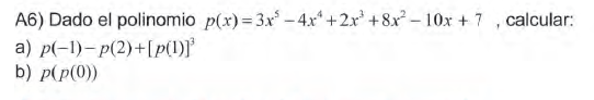
a)

$$\begin{align}&p(-1)=3(-1)^5-4(-1)^4+2(-1)^3+8(-1)^2-10(-1)+7=\\&\\&=3(-1)-4(1)+2(-1)+8(1)+10+7=-3-4-2+8+10+7=\\&=-9+25=16\\&p(2)=3·2^5-4·2^4+2·2^3+8·2^2-10·2+7=\\&=96-64+16+32-20+7=67\\&\\&p(1)=3-4+2+8-10+7=6\\&\\&p(-1)-p(2)+[p(1)]^3=16-67+6^3=165\\&\\&b)\\&p\Big( p(0) \Big)=p(7)=3·7^5-4·7^4+2·7^3+8·7^2-10·7+7=\\&=50421-9604+686+392-70+7=41832\end{align}$$

Saludos

;)

:)

Añade tu respuesta

Haz clic para o

Más respuestas relacionadas