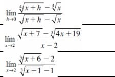
¿Cómo realizo los limites de una función fraccionaria con raíces cuartas?
Es una pregunta de cálculo diferencial, tengo que determinar los límites de funciones fraccionarias con radical. Si me pudieran ayudar con los primeros dos, se los agradecería mucho.

1 respuesta
Respuesta de Valero Angel Serrano Mercadal
1