¿Cómo solucionar este problema por medio de la Ley general de los gases y matemáticas?
1. Lee el siguiente problema
La parte interior de un neumático de automóvil está bajo una presión manométrica de 28 Pa a 7°C y un volumen de 10 litros de aire. Después de varias horas, la temperatura del aire interior sube a 320 K y su volumen aumenta un 10%.
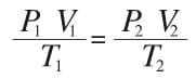
Para resolver este problema utiliza la Ley general de los gases. Recuerda que el planteamiento algebraico es:

Al aplicar las leyes de los gases, las unidades de las variables Presión y Volumen, pueden ser las que sean, siempre y cuando sean congruentes, las unidades de la Temperatura siempre deben ser Kélvines.
2. Calcula la temperatura final en °C y el volumen final en litros. Integra en tu documento el procedimiento para la resolución del problema.
Para resolver la actividad recuerda:
a. Primero se debe convertir la temperatura de °C a °K.
b. Luego, se busca la P_2, entonces al despejar y sustituir valores se obtiene el resultado.
3. Responde lo siguiente: ¿Cuál es la nueva presión manométrica?
4. Explica ¿A qué se refiere la ley general de los gases?