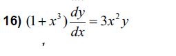
Resolver las siguientes ejercicios de ecuaciones diferenciales

Como resuelvo este ejercicio
2 respuestas
Respuesta de Mario Rodríguez
1
Respuesta de Valero Angel Serrano Mercadal
1