¿Cómo resolver este problema partiendo de la ecuación de Bernoulli?
- Resuelve el siguiente problema. Desarrolla el procedimiento e incorpora la solución.
A un tinaco de 2.35 m de alto se le hace un pequeño agujero debido al tiempo y la corrosión, este agujero se encuentra justo en la base del tinaco. Deduce la fórmula para calcular la velocidad con que saldrá el chorro de agua por el agujero y calcula.
Desarrollo:
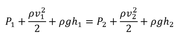
Partiendo de la ecuación de Bernoulli, toma en cuenta las consideraciones indicadas, realiza las sustituciones en la ecuación y escribe la expresión que resulta:

La velocidad en el punto más alto es insignificante comparada con la velocidad del chorro,
es decir: pv / 2 = 0, entonces la expresión queda:
La presión en ambos puntos es aproximadamente la misma, es decir: P1=P2 o P1-P2 = 0, entonces la expresión resultante es:
De la expresión anterior considera que la altura en el punto más bajo es cero por lo que ρgh2 = 0, entonces la expresión simplificada queda como:
Despejando la velocidad de esta última expresión, la velocidad la podemos calcular con la fórmula:
- a) V2=(2gh1)2
- b) v2=
- c) v2=2gh1
Sustituye el valor de la altura del tinaco y calcula la velocidad con la que el agua sale por el agujero:
v=
4. Anota cada pregunta con su respectiva respuesta y el procedimiento que seguiste en cada caso