Cómo se saca factor en el denominador de esta expresión algebraica.
Conectado
Sexo: ![]()
Argentina
Mensajes: 203
![]()
![]()
Factor de expresión algebraica
« : Hoy a las 11:25:25 pm »
Cita
Modificar
Eliminar
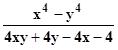
Estimados amigos del foro que caso de factor se utiliza para resolver el denominador de este ejemplo
.
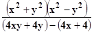
El numerador queda =
,que si no estoy equivocado se puede aplicar la propiedad de Diferencia de Cuadrado a uno de los terminos
,en el numerador.
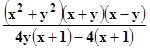
Ahora en el denominador es donde me confundo y no se si aplicar Factor por Grupos o hay otra forma de resolverlo que en este momento no me acuerdo.
Necesito alguna ayuda para completarlo.
1 respuesta
Respuesta de Luis Alberto Candio Salcedo
1




