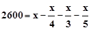
Miriam organiza sus gastos de la siguiente manera:
La cuarta parte de su salario es para alimentos y pagos de su casa.
• Un tercio de su salario lo gasta en su auto.
• Un quinto lo gasta en entretenimiento.
• Lo que le sobra, $2600, los ahorra.
¿Cuál es el salario de Miriam?
Desarrollo:
Solución:
2 respuestas
Respuesta de Luis Alberto Candio Salcedo
4
Respuesta de lola lopez
1



Respóndeme! ¿Cuándo un deporte se considera olímpico? - lola lopez
Comentario borrado por el autor - Estela Lagunas
Hola, disculpe. de donde sale el 12,000 ? - elsa jaimes
Como obtuvo el resultado final de $12,000 - Chio Gall
abuenos días igual me hice la misma pregunta, ¿la cantidad final la obtuvo sumando los denominadores? - marcos vidal
Comentario borrado por el autor - ANA VERONICA AYALA CERVERA
2600/1=13x/6060x*2600=156,000/13=12,000 - elsa jaimes