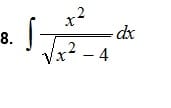
Calculo integral resolver esta integral paso a paso

Estoy un poco confundido con los radicales les agradezco su atención

1 respuesta

Respuesta
1

·

·

¡Hola Oscar!

Esta integral con el cambio trigonométrico

x = 2 sec t

Es muy, muy difícil. Pertenece al género de problemas casi imposibles que os ponen alguna vez.

Sin embargo se resuelve rápidamente si se puede usar un cambio hiperbólico

x= 2 cosh t

Tu me dirás que hacemos.

Saludos.

:

:

si maestro valero si se puede resolver utilizando ese método seria interesante   

Te voy a dar dos preguntas similares a esta. En una con el cambio de la secante dejé la integral hastiado en determinado momento y en la segunda la rematé.

Problema de integración por sustitución trigonométrica

·

¿Cómo resolver la integral? Con procedimiento

En la primera pregunta me equivoqué en el método hiperbolico porque cambié la función sin darme cuenta e hice otra muy sencilla que no era la pedida. Aquí lo haré bien:

$$\begin{align}&\int \frac{x^2}{\sqrt{x^2-4}}dx=\\&\\&x=2ch\;t\qquad\text{(ch es cosh super abreviado)}\\&\\&dx=2sh\,t\,dt\quad\text{(y sh es senh}\\&\\&\int \frac{4ch^2t}{\sqrt{4ch^2t-4}}·2sh\,tdt=\\&\\&8\int \frac{ch^2t·sh\,t}{2 \sqrt{ch^2t-1}}dt=\\&\\&4\int \frac{ch^2t·sh\,t}{sh\,t}dt=\\&\\&4\int ch^2t\;dt=\\&\\&4\int\left(\frac 12+\frac{ch\,2t}{2}  \right)dt=\\&\\&2t+sh \,2t+C=\\&2t + 2sht·cht+C=\\&\\&\text{tenemos que }t=argch \frac x2\\&\\&2argch \frac x2+2sh\left(argch \frac x2\right)·\frac x2+C=\\&\\&2argch \frac x2+2sh\left(argsh \sqrt{\frac{x^2}{4}+1}  \right)·\frac x2+C=\\&\\&2argch \frac x2+x \sqrt{\frac{x^2}{4}+1}+C=\\&\\&2 argch \frac x2+\frac x2 \sqrt{x^2+4}+C=\\&\\&\text{y de acuaerdo con la filosofía del cambio se tendría}\\&\text{que dejar así, pero se puede cambiar sabiendo que}\\&argch\,x = ln(x+ \sqrt{x^2-1})\\&\\&= 2ln\left(\frac x2+\sqrt{ \frac{x^2}{4}-1}  \right)+\frac x2 \sqrt{x^2+4}+C=\\&\\&2ln\left(\frac {x+\sqrt{x^2-4}}{2}  \right)+\frac x2 \sqrt{x^2+4}+C=\\&\\&2ln\left(x+\sqrt{x^2-4}  \right)-2ln2+\frac x2 \sqrt{x^2+4}+C=\\&\\&\text{pero 2ln2 es una constante, la C se la engulle}\\&\\&2ln\left(x+\sqrt{x^2-4}  \right)+\frac x2 \sqrt{x^2+4}+C\end{align}$$

:

:

Ya has visto que no era tan fácil, es que yo tenía el recuerdo de la otra, la que seria x^2 / sqrt(4-x^2) que esa era muy fácíl. MIentras que en esta hay que usar unas cuántas fórmulas de funciones hiperbólicas que se deducen fácilmente pero no todo el mundo las sabe. De todas formas tenías también en dos partes la resolución por el cambio trigonométrico por si tienes que hacerlo de esa forma.

Saludos

:

:

Añade tu respuesta

Haz clic para o

Más respuestas relacionadas