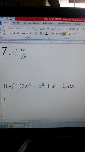
Me pueden decir como quedan estos ejercicios integrales definidas e indefinidas

De antemano agradezco su apoyo en la realización de estos dos ejercicios.
1 respuesta
Respuesta de Valero Angel Serrano Mercadal
1