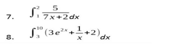
De que manera se realiza estas dos INTEGRALES

Hola! Algún Profesor que me explique estas dos integrales...

1 respuesta

Respuesta
1

·

¡Hola Vivian!

La primera se ve a la legua que es un logaritmo neperiano, solo hay que multiplicar y dividir por 7 para que la derivada sea exacta.

$$\begin{align}&\int_1^2 \frac{5}{7x+2}dx=\frac 57\int_1^2 \frac{7}{7x+2}dx=\\&\\&\frac 57 ln |7x+2|\bigg|_1^2=\frac 57(ln\,16-ln\,9)=\\&\\&\text{si acaso se pone así pero no le veo ganancia}\\&\\&=\frac 57ln\left(\frac{16}{9}  \right)\\&\\&\end{align}$$

La segunda también se resuelva ajustando alguna constante en la función exponencial primera.

$$\begin{align}&\int_3^{10}\left(3e^{2x}+\frac 1x+2  \right)dx=\\&\\&\frac 32\int_3^{10}2e^{2x}dx+\int_3^{10}\left(\frac 1x+2  \right)dx=\\&\\&\left[\frac 32e^{2x}+ln|x|+2x  \right]_3^{10}=\\&\\&\frac 32e^{20}+ ln \,10+20-\frac 32e^{6}-ln\,3-6=\\&\\&\frac 32(e^{20}-e^6)+ln\left(\frac{10}{3}\right)+14\\&\end{align}$$

:

:

Añade tu respuesta

Haz clic para o

Más respuestas relacionadas