No puedo resolver estos problemas, integrales y por sustuticion

1 respuesta

Respuesta
1

:

:

¡Hola Yam!

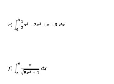
La primera es definida y se resuelve directamente y la segunda es definida y se resuelve por cambio de variable y cambio simultáneo de límites de integración para no tener que deshacerlo en el momento de evaluar el resultado.

$$\begin{align}&\int_0^3 \left(\frac 12 x^3 - 2x^2 + x + 3\right) dx=\\&\\&=\left[\frac 12·\frac{x^4}{4}-2·\frac{x^3}{3}+\frac {x^2}2+3x  \right]_0^3=\\&\\&\frac{81}{8}-18+\frac 92+9-0+0-0-0=\\&\\&\frac{81+36}{8}-9=\frac{117-72}{8}=\frac {45}8\\&\\&\\&----------------\\&\\&\\&\int_2^6 \frac{x\,dx}{\sqrt{5x^2+1}}  =\\&\\&t=5x^2+1\\&dt=10x\,dx\implies x\,dx=\frac{1}{10}dt\\&x=2\implies t=5·2^2+1=21\\&x=6\implies t=5·6^2+1=181\\&\\&=\int_{21}^{181}\frac 1{10}·\frac{1}{\sqrt t}dt=\\&\\&\frac 1{10}\int_{21}^{181}t^{-\frac 12}dt=\\&\\&\left.\frac 1{10} \frac{t^{\frac 12}}{\frac 12} \right|_{21}^{181}=\left.\frac{\sqrt t}{5}\right|_{21}^{181}=\frac{\sqrt{181}-\sqrt{21}}{5}\end{align}$$

:

:

Añade tu respuesta

Haz clic para o

Más respuestas relacionadas