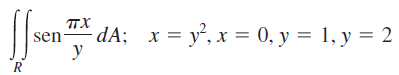
Cómo se resuelve este ejercicio de integrales dobles

Quisiera saber cómo se puede resolver este ejercicio de integrales dobles.

1 respuesta

Respuesta
2

·

·

¡Hola Mila!

Se plantea la integral doble con los límites fijos como la integral externa y los variables como la interna

$$\begin{align}&\int_1^2\int_0^{y^2}sen \frac{\pi x}{y}dx\,dy=\\&\\&\text{efectuamos la de dentro}\\&\\&\int_0^1-\frac {y}{\pi}\cos \frac{\pi x}{y}\bigg|_0^{y^2}dy=\\&\\&\int_0^1-\frac {y}{\pi}\left(\cos \pi y-\cos \frac 0y\right)dy=\\&\\&\text{tengamos en cuenta que y no valdrá 0, vale entre 1 y 2}\\&\\&\int_0^1-\frac {y}{\pi}\left(\cos \pi y-1\right)dy=\int_0^1 \frac {y}{\pi}\left(1-\cos \pi y\right)dy=\\&\\&u=\frac y\pi\qquad\qquad\qquad du =\frac{dy}{\pi}\\&dv=(1-\cos \pi y)dy\qquad v=y-\frac{sen\, \pi y}{\pi}\\&\\&=\left[\frac y \pi\left(y-\frac{sen \pi y}{\pi}  \right)  \right]_1^2-\int_1^2\left(\frac y\pi-\frac{sen\, \pi y}{\pi^2} \right)dy=\\&\\&\frac 2{\pi}\left(2-\frac{sen\,2\pi}{\pi}  \right)-\frac 1{\pi}\left(1-\frac{sen\,\pi}{\pi}  \right)-\left[\frac{y^2}{2\pi}+\frac{\cos \pi y}{\pi^3} \right]_1^2=\\&\\&\frac 4\pi-\frac 1\pi-\frac{2}{\pi}-\frac{\cos 2\pi}{\pi^3}+\frac{1}{2\pi}+\frac{\cos\pi}{\pi^3}=\\&\\&\frac 4\pi-\frac 1\pi-\frac{2}{\pi}-\frac{1}{\pi^3}+\frac{1}{2\pi}-\frac{1}{\pi^3}=\\&\\&\frac{8-2-4+1}{2\pi}-\frac{2}{\pi^3}=\\&\\&\frac{3}{2\pi}-\frac{2}{\pi^3}=\frac{3\pi^2-4}{2\pi^3}\end{align}$$

Espera, puse mal los límites algunas veces porque se me metieron en la cabeza otros números, aunque el resultado está bien. Esto es lo correcto del todo:

$$\begin{align}&\int_1^2\int_0^{y^2}sen \frac{\pi x}{y}dx\,dy=\\&\\&\text{efectuamos la de dentro}\\&\\&\int_1^2-\frac {y}{\pi}\cos \frac{\pi x}{y}\bigg|_0^{y^2}dy=\\&\\&\int_1^2-\frac {y}{\pi}\left(\cos \pi y-\cos \frac 0y\right)dy=\\&\\&\text{tengamos en cuenta que y no valdrá 0, vale entre 1 y 2}\\&\\&\int_1^2-\frac {y}{\pi}\left(\cos \pi y-1\right)dy=\int_1^2 \frac {y}{\pi}\left(1-\cos \pi y\right)dy=\\&\\&u=\frac y\pi\qquad\qquad\qquad du =\frac{dy}{\pi}\\&dv=(1-\cos \pi y)dy\qquad v=y-\frac{sen\, \pi y}{\pi}\\&\\&=\left[\frac y \pi\left(y-\frac{sen \pi y}{\pi}  \right)  \right]_1^2-\int_1^2\left(\frac y\pi-\frac{sen\, \pi y}{\pi^2} \right)dy=\\&\\&\frac 2{\pi}\left(2-\frac{sen\,2\pi}{\pi}  \right)-\frac 1{\pi}\left(1-\frac{sen\,\pi}{\pi}  \right)-\left[\frac{y^2}{2\pi}+\frac{\cos \pi y}{\pi^3} \right]_1^2=\\&\\&\frac 4\pi-\frac 1\pi-\frac{2}{\pi}-\frac{\cos 2\pi}{\pi^3}+\frac{1}{2\pi}+\frac{\cos\pi}{\pi^3}=\\&\\&\frac 4\pi-\frac 1\pi-\frac{2}{\pi}-\frac{1}{\pi^3}+\frac{1}{2\pi}-\frac{1}{\pi^3}=\\&\\&\frac{8-2-4+1}{2\pi}-\frac{2}{\pi^3}=\\&\\&\frac{3}{2\pi}-\frac{2}{\pi^3}=\frac{3\pi^2-4}{2\pi^3}\end{align}$$

Saludos.

·

·

Añade tu respuesta

Haz clic para o

Más respuestas relacionadas