Como se resuelven los limites

ayuda para resolver los límites de estas ecuaciones por favor

2 respuestas

Respuesta
1

Son muchos ejercicios, sin embargo creo que no presentan demasiada complejidad. Veamos:

a) Directamente es evaluar el polinomio en el valor límite, o sea

3*(2)^2 - 11*(2) + 10 = 0

b) idem (a)

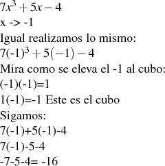
7*(-1)^3 + 5*(-1) - 4 = -16

c) Si no se presenta ninguna indeterminación se resuelve directo reemplazando como antes

[4 - (0)] / [(0)^2 -1] = 4 / (-1) = -4

d) idem (c)

[2*(1)^4 - 3*(1)] / [4*(1)^2+5] = -1 / 9

e) Cuando en un polinomio, la variable tiende a infinito, el resultado será infinito. Puede haber un tema con los signos, pero como acá no te aclara hacia que infinito tiende x, no puedes saber a que infinito tenderá el polinomio (pero tendrá el mismo signo que x, por ser el polinomio de grado impar)

f) Único ejercicio que presenta "alguna" dificultad, veamos

$$\begin{align}&\lim_{x \to \infty} \frac{6x^2-5x+4}{3-2x^2}\\&\text{Factor común x^2 en ambos polinomios}\\&\lim_{x \to \infty} \frac{x^2\cdot(6-5/x+4/x^2)}{x^2\cdot(3/x^2-2)}\\&\text{simplificando los }x^2, \text{lo que sobrevive que tien x tiende a cero y queda (haciendo abuso de notación):}\\&\lim_{x \to \infty} \frac{(6-0+0)}{(0-2)}=-3\\&\\&\end{align}$$
Respuesta
1

_________________________________________________________________________________________

Hola Carolina!

A)

Solo remplaza el valor de x=

B)

C)

D) Realiza lo mismo que las ves anterior, remplazando el valor de x:

E)

Para calcular el límite de una función cuando x → ∞ se sustituyen las x por ∞.

El límite cuando x → ∞ de una función polinómica es +∞ o −∞ según que el término de mayor grado sea positivo o negativo.

Ejemplos:

En tu caso nos queda lo siguiente:

F)

La respuesta es: -3

Saludos

___________________________________________________________________________________

Añade tu respuesta

Haz clic para o

Más respuestas relacionadas