¿Cómo resolver este ejercicio de anualidades?
Espero puedan ayudarme con este ejercicio
Un patrón quiere que su empleado se capacite en un curso que dura 6 cuatrimestres. Si la colegiatura por cada periodo es de $26, 350 pesos al inicio del mismo y si el dinero gana 3% cuatrimestral. ¿Qué cantidad deberá depositarse en la cuenta para que alcance a cubrir los requerimientos?
Me debe de dar uno de los 3 resultados: 49205.51, 49234.68, 49298.15
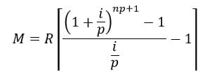
La fórmula que me dan para resolverlo es esta:

segun yo los datos serian estos
i=0.03, p=3, n=2, R=26350
Pero al sustituir no me da ninguno de los 3 resultados y ya lo intente de varias formas.
Respuesta de Valero Angel Serrano Mercadal
1