Principios de superposición, dependencia e independencia lineal
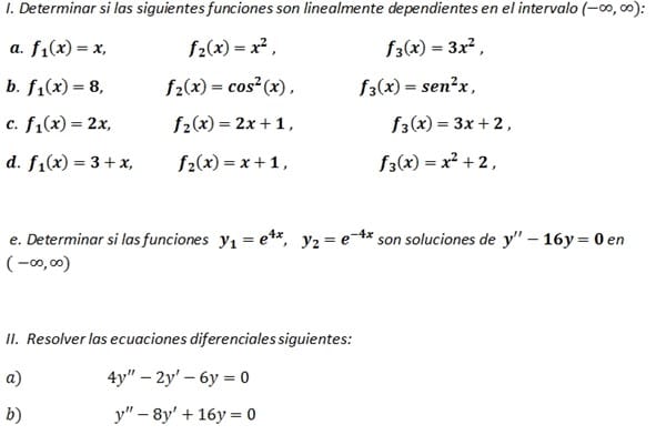
Me podrían Ayuda para resolver estos ejercicios por favor.

3 Respuestas
Respuesta
2
Respuesta
2
Respuesta de Valero Angel Serrano Mercadal
2

