¿Encuentre el numero de proposición?

^^^ Esas yo no entiendo :/

1 respuesta

Respuesta

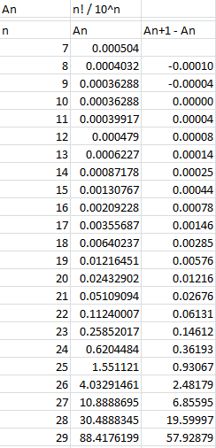
No es una demostración "rigurosa", pero te dejo una imagen de los cálculos hechos en Excel, donde se ve que a partir de n=11 se cumple este requerimiento (por lo tanto M=11)

Supongo que este ejercicio es para matemáticas. Como a los matemáticos no les alcanza con ver esta tabla, sino que hay que demostrar que a partir del 11 vale para todos los naturales, voy a intentar demostrarlo por inducción. En este caso usaré inducción desplazada, ya que en lugar de empezar en 1, debemos comenzar en 11 (ya vimos que para valores menores, esto no se cumple).

$$\begin{align}&\text{El principio de inducción dice:}\\&\text{Demostrar para P(11)}\\&\text{Si n>11, suponiendo que vale para P(n)} \to \text{vale para P(n+1)}\\&\text{tenemos dos formas de verlo, calculando: } A_{n+1} - A_n \text{ y viendo que es mayor que cero}\\&\text{o calculando } \frac{A_{n+1}}{A_n } \text{ y viendo que es mayor que 1}\\&\text{Voy a intentar de la primer forma}\\&n=11 \\&P(11) = A_{11} - A_{10} = \frac{11!}{10^{11}}-\frac{10!}{10^{10}}=0.00004>0 \to Vale!\\&P(n) \to P(n+1)?\\&A_{n+1} - A_{n}=  \frac{(n+1)!}{10^{n+1}}-\frac{n!}{10^{n}}=\frac{(n+1)!-10 n!}{10^{n+1}}\\&\text{No llego a nada "útil"...intentaré el otro método}\\&P(11) = \frac{A_{11}}{A_{10}} = \frac{\frac{11!}{10^{11}}}{\frac{10!}{10^{10}}}=\frac{11}{10}=1.1>1 \to Vale! \text{ (igual ya lo sabíamos por el otro método)}\\&P(n) \to P(n+1)?\\&\frac{A_{n+1} }{ A_{n}}=  \frac{\frac{(n+1)!}{10^{n+1}}}{\frac{n!}{10^{n}}}=\frac{(n+1)! 10^n}{10^{n+1}n!}=\frac{n+1}{10}\\&\text{Como n>11, vale siempre que:} \frac{n+1}{10}>1\\&\\&\\&\\&\end{align}$$

Añade tu respuesta

Haz clic para o

Más respuestas relacionadas