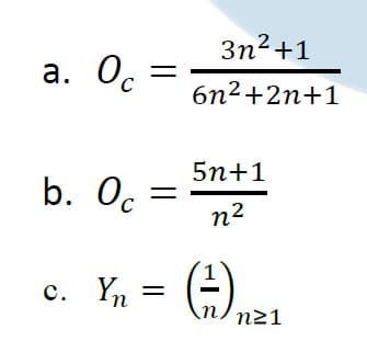
Sucesiones acotadas. Halle las cotas de las siguientes sucesiones y determinar, con ellas, si son o no crecientes.
Me pueden colaborar con este ejercicio: Sucesiones acotadas. Halle las cotas de las siguientes sucesiones y determinar, con ellas, si son o no crecientes.
