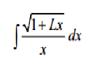
¿Como puedo resolver esta integral?

Muchas gracias por vuestra ayuda :))
******************** ************ *************************
2 respuestas
Respuesta
1
Respuesta de Valero Angel Serrano Mercadal
1
