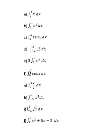
Realiza los siguientes ejercicios de Integral Definida Calculo diferencial e integral
Voy a subir el archivo como una foto por que hay algunos símbolos que no se poner con el teclado, así tendrán mejor claridad, espero que me ayuden por favor!

1 respuesta
Respuesta de Valero Angel Serrano Mercadal
2
