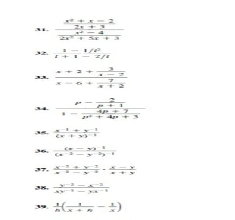
Efectuar las operaciones indicadas y simplificar en las siguientes operaciones
Actividad 2 unidad 3 matematicas
Efectua


R las operaciones indicadas y simplificar en las siguientes operaciones
2 respuestas
Respuesta de Lucas m
1
Respuesta de Valero Angel Serrano Mercadal
1
hola buenas tardes es para ver quien me puede hacer el favor de resolver unos problemas - milady alvarez arango