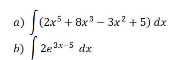
Calcular siguiente función de calculo integral

Favor de apoyarme con estas ecuaciones para sacar la integral. Gracias
Respuesta de Eva Villa Lopez

Favor de apoyarme con estas ecuaciones para sacar la integral. Gracias