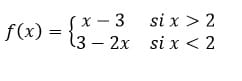
¿Como realizar la grafica de la siguiente función y econtrar la ordenada en el origen?
Realiza la grafica de la siguiente función, indique por dónde atraviesa el eje de las “y’s”, o sea la ordenada al origen:

1 Respuesta
Respuesta de Valero Angel Serrano Mercadal
2
