Determinar los ingresos, funciones y costo marginal
1.- Otro punto dentro de la estrategia de la empresa editorial con son las ventas por Internet, por esto construye una tienda virtual donde determina que los ingresos de dicha tienda por la venta de un nuevo libro están dados por la siguiente función:
![]()
En miles de pesos, semanalmente, determine los ingresos reales por la venta del libro 101.
2.- por otra parte se determina que la tienda virtual tiene ingresos marginales en el departamento de ciencia ficción de acuerdo a la siguiente función:

Donde x representa la cantidad de libros que vende el departamento de ciencia ficción por mes. Determine la función que representa los ingresos totales.
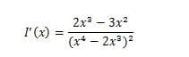
3.- Durante un análisis marginal se determinó que en el almacén de la empresa editorial la función de costo marginal estaba dada por:
![]()
En pesos, determine el costo de almacenar 150 libros, si se sabe que los costos fijos del almacén son de 3.
Gracias!