Maria  Vargas

Maria Vargas

 México @rebecabarajas desde - visto
Preguntar

Preguntas esperando respuesta

Actividad pública reciente

Ha preguntado en el tema en y en 3 temas más

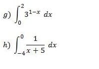
¿Quien sabe como resolver integrales?

Hola buenas noches estudio administración y llevo rato atorada con dos integrales, podrían ayudarme gracias.
Voto positivo a la respuesta

¿Cómo puedo determinar la población dentro de 5 años?

respondió: · La población a largo plazo será el límite cuando n tiende a infinito de la función. No sé si te habrán enseñado la norma de que cuando el grado del denominador es mayor que el del numerador el límite en el infinito es 0. Con lo cual directamente se...
Ha empezado a seguir a
Ha preguntado en el tema en y en 3 temas más

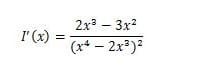
Determinar los ingresos, funciones y costo marginal

1.- Otro punto dentro de la estrategia de la empresa editorial con son las ventas por Internet, por esto construye una tienda virtual donde determina que los ingresos de dicha tienda por la venta de un nuevo libro están dados por la siguiente...
Sin respuestas