Encontrar el valor de 5A - 3B

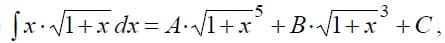
Teniendo la siguiente función

Cual seria el valor de 5A - 3B

1 respuesta

Respuesta
$$\begin{align}& \end{align}$$

¡Hola Tatiana!

·

Igual que con los dos anteriores. Derivamos el resultado y lo igualamos al integrando y deducimos los valores de A y B

$$\begin{align}&[A (\sqrt{1+x})^5+B(\sqrt{1+x})^3+C]'=\\&\\&A(1+x)^{3/2}+B(1+x)^{1/2}=\\&\\&\text{extraemos factor común y después igualamos}\\&\\&[A(1+x)+B]\sqrt{1+x}= x·\sqrt{1+x}\\&\\&\text{para que la igualdad sea verdadera}\\&\\&A(1+x)+B = x\\&\\&A+Ax+B = x\\&\\&\text{se deducen dos ecuaciuones}\\&A=1\\&A+B=0 \implies1+B=0\implies B=-1\\&\\&\text {Luego } \\&\\&5A-3B=5·1-3(-1) = 5+3=8\end{align}$$

Añade tu respuesta

Haz clic para o

Más respuestas relacionadas