¿Cómo dar solución a esta integral?

Apoyo para solucionar esta integral de la materia de matemáticas administrativas

1 respuesta

Respuesta
3

·

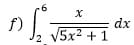
Se resuelve por cambio de variable. Pero al se una integral definida hay dos formas de resolverla.

a) A la vez que se cambia la variable se cambian los límites de integración y así al final no es necesario deshacer el cambio de variable.

b) No se cambian los límites y hay que deshacer el cambio para hacer la evaluación

Lo haré de la primera forma, ya que la segunda aporta poco.

$$\begin{align}&\int_2^6 \frac{x}{\sqrt{5x^2+1}}dx =\\&\\&t=5x^2+1\\&dt = 10x\, dx \implies x\,dx=\frac 1{10}dt\\&x=2\implies t=5·2^2+1 = 21\\&x=6 \implies t=5·6^2+1 =181\\&\\&\frac 1{10}\int_{21}^{181} \frac{dt}{\sqrt t}=\frac 1{10}\int_{21}^{181}t^{-\frac 12}dt=\\&\\&\left.\frac{1}{10}\frac{t^{\frac 12}}{\frac 12}\right|_{21}^{181}=\left.\frac{\sqrt t}{5}\right|_{21}^{181}=\\&\\&\frac{\sqrt{181}-\sqrt{21}}{5}\approx\\&\\&\text{Dado que no son matemáticas puras lo calculamos}\\&\\&\approx1.77420967\\&\end{align}$$

Y eso es todo.

Añade tu respuesta

Haz clic para o

Más respuestas relacionadas