Razon de Cambio Instantanea (Resolucion de Problemas)

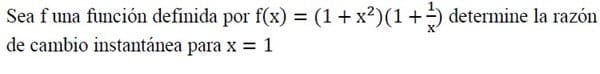
Disculpen que copie la pregunta como imagen, no se muy bien como redactar las potencias o las fracciones. De adelantado, muchas gracias por su ayuda!!!
1 Respuesta
Respuesta de dark_man_sp2
1
